
Author: Kylo(Twitter: @kylohanks_eth)
As an extension of the financial system on the blockchain, DeFi naturally has both fixed-rate and floating-rate products. In the crypto finance industry, fixed rate and floating rate products came online around the same time, but the current DeFi landscape is dominated by floating rate products due to the pull of on-chain user demand.
The current lack of fixed rate products in the DeFi market does not mean that there is no demand for fixed rate products in DeFi, but rather that there are only a handful of fixed rate related products in DeFi and less than a fraction of the TVL of floating rate lending compared to TradFi, where fixed rate funding accounts for the majority of the volume.
This is partly due to the fact that DeFi is currently dominated by retail investors, whereas in TradFi, governments and institutions account for the bulk of the volume. For risk management purposes, institutions with large positions tend to prefer fixed rates; on the other hand, a very important part of the chain’s fixed rate product logic is to find counterparties, and the lack of depth and counterparty in DeFi has kept the turnover of fixed rate products on the chain low.
On the whole, there are three types of fixed rate products: C2C, B2B and B2C.
C2C is for fixed rate lending and fixed rate income products; B2B is for fixed rate agreements between institutions through OTC; and B2C is for fixed rate asset management products for retail investors. However, there is a degree of overlap between C2C and B2C fixed rate income products, as fixed rate income products are essentially formed due to the existence of counterparties, which in the C2C model are all retail investors, whereas in the B2C model, the counterparties of retail investors are a single managed product agreement.
The only three product formats that can really contribute to the development of fixed rate products in the chain are the C2C and B2C formats. This is because even though there will be a large number of financial institutions trading on the chain in the future, the easiest way to sign a fixed rate agreement between different institutions will still be through off-chain OTC rather than through an on-chain fixed rate agreement.
Therefore, from this perspective, the overall narrative of fixed rate products is actually limited to the C-side, and it is difficult to create a pattern like TradFi where fixed rate products are much larger than floating rate products, and the more likely scenario is that fixed rates serve on-chain users as a complement to floating rate products.
Ideally, however, as DeFi continues to grow and the volume of capital increases, specialised talent from the traditional finance sector will enter the market. There is a potential demand for fixed rate lending and its derivatives, which will drive the improvement and development of derivatives, fixed rate products and other products.
On-chain principal and interest segregation is commonly used to split a floating rate Yield Bearing Assets into zero coupon bonds and discounted future returns, as represented by Element Finance and Sense Finance.
Element Finance currently only supports Yield Bearing Assets from Yearn Finance, which is designed to split a Yearn Token into a Principal Token and a Yield Token. The Principal Token is a zero-coupon bond and the Yield Token is a sub-product with a floating interest rate. In the case of USDC, for example, if a user wants to split the assets in the Yearn Finance USDC pool on Element Finance, the split equation is: 1 yearn USDC -> 1 epyvUSDC + 1 eyyvUSDC.
The above equation represents a quantitative rather than a value relationship, i.e. the market values of the left and right sides may not be equal and therefore arbitrage opportunities often exist in illiquid situations.
At maturity epyvUSDC can be exchanged 1:1 for USDC, and eyyvUSDC can be exchanged directly for the return generated by 1 yearn USDC (epyvUSDC is a zero-coupon bond with 1 USDC meeting a certain yield, and eyyvUSDC is the discounted future return that may be generated by 1 USDC). The price of a zero-coupon bond is essentially one-to-one with the yield, so when the market demand for epyvUSDC fluctuates, the price of epyvUSDC will fluctuate accordingly, leaving the implied yield in a state of flux.
This type of interest paying product generally takes two forms: the first is a periodic interest payment that reduces the value of the product to zero; the second is a product in which the entire amount of interest paid each period is accumulated and redeemed at maturity. The two models above are entirely different logics in providing liquidity.
AMM market making has an inherent disadvantage in making markets in assets with a diminished value of 0, with LPs facing significant unremunerated losses. Therefore, the common method of attaching interest is the second one, with full redemption of the interest at maturity, mainly to facilitate subsequent market making.
Based on the basic mechanism described above, Element Finance can offer three types of products: interest rate swap products, leveraged products and fixed income products.
Interest rate swap products are essentially the same as fixed income products. For a buyer of a Principal Token, buying a Principal Token is equivalent to buying a zero-coupon bond, with the yield determined by the purchase price, and the Principal Token is a fixed-income product.
For the seller of a Principal Token, the cash received can be invested in other floating rate products, which is equivalent to exchanging the Principal Token for a floating rate product (e.g. into a machine gun pool), completing the interest rate swap process. An interest rate swap is essentially a swap of user risk, with the seller of a fixed rate product looking for an excess risk return and the buyer of a fixed rate product looking to lock in future returns. The above process actually explains why fixed rate products are confined to the C-suite.
Leveraged interest rate products mean that the user can use Element Finance to capture the return on the movement of Yield Bearing Assets and eliminate the price volatility of Underlying Assets themselves. As a simple example, User A has 1 ETH and deposits it with Yearn Finance to earn income. He predicts that Yearn Finance’s ETH returns will be above 10% in the long term. He therefore wants to increase his interest rate exposure to Yearn ETH as much as possible using the leverage tools on the chain. This can be achieved by using Element Finance to increase his leverage without the risk of liquidation. This is done as follows.
**# **Split 1 Yearn ETH to get an epyvETH and an eyyvETH
**# **Estimate the annualised return of Yearn Finance’s ETH to be above 10%Sell epyvETH at a discount of less than 10%, assuming 6%, and get 0.94 ETH in cash
**# **reinvest 0.94 ETH into Yearn Finance and split it…
**# **Theoretically, selling Principal Token at a 6% discount would yield a maximum of 16.7 yearn ETH of floating rate exposure
**# **This will always be profitable as long as the average floating rate of Yearn ETH is above 6% before the expiry of the redemption period. (If it is 10%, the strategy returns 66.7%)
This process has the obvious advantage of erasing the price risk inherent in Underlying Assets, leaving the user’s exposure to the interest rate component alone, reducing the multiple risks to one dimension. However, the above strategy, constructed through Yield Token, can only be used for bullish floating rates and not for bearish floating rate scenarios.
The Voltz Protocol offers a more comprehensive solution to the problem of interest rate speculation.
The Voltz Protocol provides users with a more comprehensive mechanism for interest rate swaps. An interest rate swap, also known as an interest rate swap, is a transaction in which two parties, a fixed-rate and a floating-rate counterparty, swap cash flows in the future. There are some differences between interest rate swaps as represented by the Voltz Protocol and TradFi, where the interest rate swap is a swap between two counterparties holding a fixed rate product and a floating rate product to swap the cash flow of proceeds at some point in the future, commonly done by B2B through OTC.
In DeFi, however, interest rate swaps are often conducted indirectly on the chain using an existing pool of funds as a counterparty for a C2C scenario, which requires the Voltz Protocol’s vAMM mechanism.

The pairs traded in vAMM are virtual assets, which are priced using the Uni V3 pricing model to determine the current fixed rate at which they can be traded. This is calculated using the following formula:

The main reason for using 1% Fixed Tokens as a parameter in the AMM is to facilitate the use of 100% interest rate conversions. As a result of the Uni V3 pricing model, LPs can choose the range of fixed rates that they are comfortable with when making a market, in other words the range of fixed rates that they can afford to pay when trading with a Trader on a counterparty basis.
The Voltz Protocol margin system is used by LPs to fund and by Traders to trade. LPs provide single currency liquidity, for example to provide liquidity for the aDAI interest rate swap June pool by simply depositing DAI, so there are no unearned losses for LPs. However, as the LP’s role in the system is akin to that of a retail counterparty brokering two sides, it is inevitable that it will have to come down and act as a counterparty to the retail counterparty itself. When the two parties fail to reach an equilibrium, the LP itself has some exposure to risk. If the floating rate changes in the opposite direction to the LP’s exposure, then the LP will incur a direct loss.
The Voltz Protocol functionally provides retail investors with the opportunity to short and long floating rates. Those who are long floating rates are essentially Variable Takers, who can be leveraged up to 1000x to go long floating rates based on the current fixed rates established by the AMM, but when the floating rate falls below the liquidation line, the Trader’s position is liquidated by the margin system; those who are short floating rates are essentially Fixed Takers, similar to the above logic.
In narrative terms, Element Finance introduced new asset classes (zero-coupon bonds and floating-rate sub-products) and leveraged instruments on interest rates to DeFi, and it makes sense that the track should have been on the fast track, rather than in its current infancy. The problem actually lies in several areas.
All the financial products that Element Finance can offer are based on the premise that epyvToken (EP) and eyyvToken (EY) are highly liquid, but Yield Bearing Assets are inherently illiquid assets and cannot provide a degree of liquidity to EP and EY. The Yield Bearing Assets In addition, the variety of Yield Bearing Assets but the low market value of individual Yield Bearing Assets is also a reason why the corresponding market value of EP and EY is too low to create a scale effect.
At present, the only Yield Bearing Assets on the chain with potential for EP/EY splitting are ETH staking notes, such as stETH, with a market capitalization of about US$5 billion, mainly because their capital management scale is large enough and the liquidity problem is not difficult to solve. Principal Token can directly act as a zero-coupon bond, replacing stablecoin as a reserve asset for retail investors, while Yield Token can be used as an interest rate leverage tool, providing a product for retail investors to trade staking yield interest rate exposures.
The simplest and most brutal form of on-chain fixed rate lending is P2P fixed rate lending, but this DeFi protocol, which is tied to the rule of man, has less of a procedural aesthetic. The following discussion therefore focuses on the AMM lending model of the Yield Protocol, the fixed-rate lending protocol of Arbitrum and the Ethernet mainnet, which is designed with a very different AMM mechanism, let’s call it AMM with Time Decay.
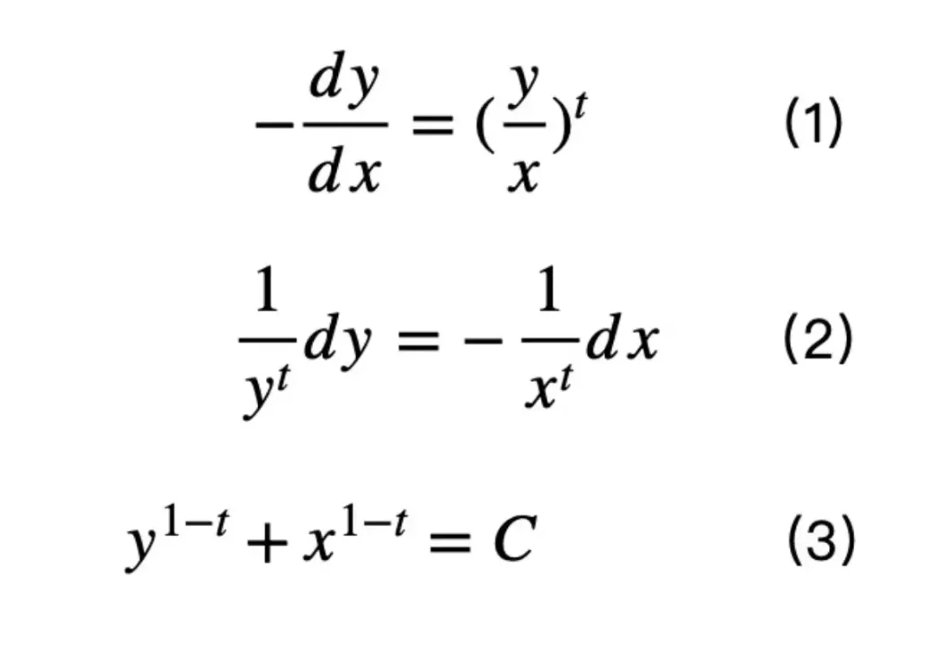
The derivation of this AMM formula is very simple, requiring only one step to solve the ordinary differential equation.

Central to understanding equation (1) is the consistency of the price and yield of a zero-coupon bond, which, when the time left to maturity is t, can be expressed as

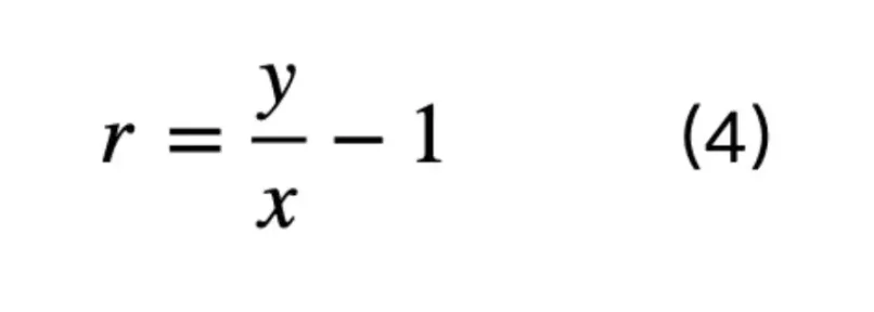
(4) is an official definition of the yield assumption. In practical economic terms, the yield on a zero-coupon bond is calculated as

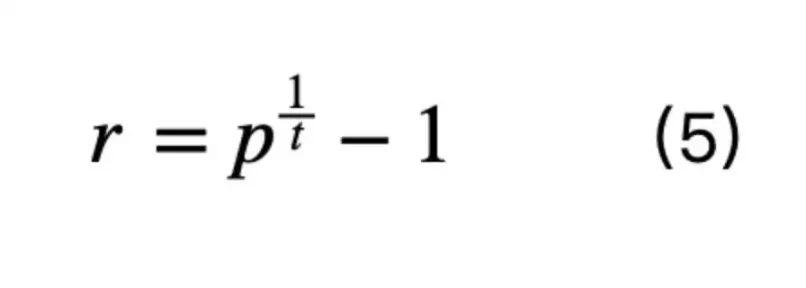
When the hypothetical definition is equal to the actual definition, this gives

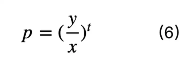
where p is the price and t is the time to maturity. For the price p itself, the other formula for p is

This leads to the AMM formula above.
Yield Protocol’s lending is funded by user-provided liquidity in a pool of either 3-month or 6-month term deposits. After the user has provided USDC liquidity, Yield Protocol mint a corresponding amount of fyUSDC based on the current implied yield and forms the USDC into pairs with fyUSDC.
For example, when the 3 month pool is first opened, the protocol decides that the pool will have an initial fixed rate of 3%, so at this point fyUSDC will be priced at 1⁄1.03 and one fyUSDC will be destroyed and exchanged for USDC at a ratio of 1:1 after 3 months. fyUSDC is subject to fluctuations in the market price due to demand until the 3 month term expires, which means that yields will fluctuate, but Regardless of the fluctuations, fyUSDC will be paid promptly at the end of the 3 month term.
The term deposit pool is open at any time and users can deposit into the pool at any time, but the fixed yield is determined by the price of fyUSDC at that point in time, so there will be a situation where the same user will have different yields on funds deposited into the pool at different times.
The Yield Protocol is unique in that it utilises the AMM mechanism for lending and borrowing, where the lender and borrower are essentially trading fyUSDC-USDC, and the protocol deliberately separates the terms Lend and Pool.
The Pool of the Yield Protocol is used to construct fyUSDC- USDC pairs, i.e. to increase the k-value in the AMM. Lend and Borrow, on the other hand, are used to buy and sell fyUSDC without changing the k-value.
In the case of Lend, the user buys fyUSDC in the AMM with USDC and the rate of return is determined by the price of fyUSDC; in the case of Borrow, the user mint fyUSDC using excess collateral and sells fyUSDC through the AMM for USDC, and the borrowing rate is determined by the price of fyUSDC at that point. It is also because the AMM is responsible for the entire Yield Protocol lending process that it is necessary to use the AMM mechanism with the introduction of t as described above. The main purpose of this is to calculate the price of fyUSDC with a price in expiry time and to reduce slippage in the transaction as shown in the diagram below.

The use of AMM for fixed rate lending has opened up a new narrative for fixed rate lending, but the mainstream of lending to date is still AAVE floating rate lending.
The problem may be fourfold: firstly, MakerDAO’s D3M works closely with AAVE and Compound to stabilise lending rates on DAIs at a low level, making it almost impossible for users to borrow at excessive rates on DAIs; secondly, the AMM lending mechanism needs to provide LP liquidity in the first place, and LPs have a fixed infrequent loss if they are provided with LPs. If the fees and some of the appreciation of assets in the process of providing LPs do not exceed the CVL, then the AMM will face an immediate loss of LPs; thirdly, DeFi’s users are currently mainly retail investors, and the demand for fixed rate lending from retail investors is not really high; and fourthly, large fixed rate lending is currently constrained by the liquidity in the AMM.
For these reasons, fixed rate lending remains a complementary product to floating rate lending, rather than a substitute or replacement.
The use of AMMs for fixed rate lending has opened up a new narrative for fixed rate lending, but the mainstream of lending to date is still AAVE’s floating rate lending.
The problem may be fourfold: firstly, MakerDAO’s D3M works closely with AAVE and Compound to stabilise lending rates on DAIs at a low level, making it almost impossible for users to borrow at excessive rates on DAIs; secondly, the AMM lending mechanism needs to provide LP liquidity in the first place, and LPs have a fixed infrequent loss if they are provided with LPs. If the fees and some of the appreciation of assets in the process of providing LPs do not exceed the CVL, then the AMM will face an immediate loss of LPs; thirdly, DeFi’s users are currently mainly retail investors, and the demand for fixed rate lending from retail investors is not really high; and fourthly, large fixed rate lending is currently constrained by the liquidity in the AMM.
For these reasons, fixed rate lending remains a complementary product to floating rate lending, rather than a substitute or replacement.
Reference:
【免责声明】市场有风险,投资需谨慎。本文不构成投资建议,用户应考虑本文中的任何意见、观点或结论是否符合其特定状况。据此投资,责任自负。
