
作者:北辰
关于衍生品,除了在现货基础上加多少倍杠杆,其实还有另一种放大风险与收益的方式,那就是直接追踪以现货价格的次方来计价,也就是Power Perpetuals。
最早是由Opyn团队在2021年8月份提出的,并在2022年1月份正式推出Squeeth。
Squeeth提供的是一种杠杆代币oSQTH,但oSQTH不是加了若干倍杠杆的ETH,而是追踪ETH价格的2次方。
如果你想做空ETH,那就在Squeeth上抵押ETH或者Uniswap的LP代币(抵押比率是200%),然后铸造出oSQTH,再拿到Uniswap V3上卖出。
如果你想做多ETH,那就在Uniswap V3上买入oSQTH即可。
作为杠杆代币,oSQTH背后是有清算机制的,当某个oSQTH的抵押比率低于150%时,清算人可以补齐欠下的oSQTH,然后解锁出对应金额的抵押品,并获得10%的奖金。
oSQTH对很多交易者来说有很大的吸引力,因为杠杆代币没有到期日且不会爆仓,而且还有清算机制来保证代币的内在价值。

但是oSQTH作为合成资产,也就意味着杠杆率小于1(低于150%就会被清算)。
而Deri Protocol推出了Power Perpetuals的另一种方案——可以在追踪价格平方的基础上加杠杆,本质上它是一个永续期货。
mBTC²——BTC²的1/1000的永续期货
Deri Protocol给出的Power Perpetuals解决方案是永续期货,但追踪的价格并不是现货价格,而是它们价格的2次方。
在现货市场,你持有BTC,从4万美元涨到4.5万美元,那么涨幅是12.5%。
在期货市场就比较刺激了——你就可以加杠杆,也可以选择做多或者做空。
假设你是加了10倍杠杆来做多BTC,那么BTC从4万美元涨到4.5万美元,但你的涨幅就是125%。当然如果你是做空,意味着你亏损了125%。
而在Power Perpetuals市场就更刺激了。因为你不仅可以加杠杆、做多或者做空,而且是按BTC²来计价的。
假设你也是加了10倍杠杆来做多BTC²,会发生什么?
当BTC从4万美元涨到4.5万美元,就意味着BTC²从16亿美元(你没看错,16亿)涨到20.25亿美元,涨幅约26.56%,这远高于现货的涨幅(12.5%)。
但是别忘了,你此时还加了10倍杠杆,那么涨幅就是265.6%。
因为BTC²的价格在交易过程中无疑是天文数字,所以Power Perpetuals交易的是BTC²的1/1000——mBTC²。
当BTC现货价格是4万美元时,BTC²是16亿美元,mBTC²是160万美元。另一个标的mETH²也是同理。
也就是说mBTC²会带来比传统BTC期货更高的回报(如果方向对的话),当然也比oSQTH的回报更高。
资金费——多空再平衡
Power Perpetuals市场上mBTC²的收益非常刺激,但多头与空头体验到的刺激程度不一样,它们面临的风险/收益是不对称的。
用一句话来概括,多头在上涨中的收益,要高于同等幅度的下跌中的亏损。空头反之亦然。
这里继续用刚才的案例来说明。
当BTC从4万美元涨到4.5万美元时,BTC的涨幅是12.5%,而mBTC²的涨幅约26.56%。
假如多头持仓了1个mBTC²,那从160万美元涨到202.5万美元,获利了42.5万美元。
多头的获利也就意味着空头承担的损失。
但是当BTC从4万美元跌到3.5万美元时,BTC的跌幅是12.5%,而mBTC²的跌幅约23.4%。
假如多头持仓了1个mBTC²,那从160万美元跌到122.5万美元,亏损了约37.5万美元。
多头的亏损也就意味着空头的获利。
细心的你也许已经发现了,对mBTC²多头来说,从BTC上涨12.5%中的获利要高于下跌12.5%带来的亏损。
毕竟追踪的是价格的平方,注定了是非线性关系。这种收益与亏损的不对称会导致交易者更愿意成为多头,所以需要在资金费率上做调整,来维持多头与空头之间的平衡。
Power Perpetuals的多头需要向空头支付资金费用,空头可以通过赚资金费用。
当BTC是4万美元时,mBTC²的市场价格其实会高于160万美元(比如163.1284万美元),高出的那部分(31284美元)就是多头给空头每周要支付的资金费用。
需要注意的是,资金费用是按秒收费的,所以每秒的资金费用就是每周资金费用再除以7*24*3600。
方便起见我们还是按日资金费来算,发稿时的日资金费率是0.186%(相当于年利率67%)。
当然资金费用是根据价格实时波动的,但无论如何这个量级的资金费率已经很可观了。
所以我们不难发现得出这样一个结论——mBTC²远比传统期货更适合做短期看涨(因为多头面临的涨幅要高于跌幅),也远比传统期货更适合长期看跌(因为mBTC²空头会持续收高昂的资金费用)。
无常损失的完美对冲工具
与传统期货相比,Power Perpetuals市场不止更适合短期看涨的多头,以及无论长期短期都看空的空头,其实还有一个隐秘的意想不到的功能——对冲LP的无常损失。
在探讨如何对冲无常损失之前,我们先回顾一下无常损失是怎么来的。
最常见的AMM模型是恒定乘积做市商(CPMM)。假设资金池里有A、B两种代币,而x、y分别是它们的数量,那么x*y=k(k是恒定的常数)。
所以当x增多时,y就会减少,反之亦然。
如果你想取出一定数量的A,就必须存入能够维持K值恒定的数量的B,这时A的价格就出现了——等于y(即B的数量)/x(即A的数量)。
尤其需要注意的是,AMM的价格只取决于上述的数量变动,与外部价格无关,所以一定会出现该AMM的价格与外部交易所的价格不一致。
这就交给套利者来解决。套利者捕捉到差价,然后在该交易池里存入价格比外面贵的代币,然后取出更多的比外面便宜的代币,直到该交易池的价格与外部价格一致。
那么对LP来说,就会造成无常损失。因为LP是按1:1的比例来给AMM的交易对提供资产,外部价格波动引来套利者重新平衡资产比例,最终LP手中的资产也会随之变动。
简单来说是涨价的代币数量减少,而跌了的代币数量增多。
最终的结果就是,无论上涨还是下跌,LP手中的代币对的总价值都会低于当初单纯持有资产的总价值,损失的这部分就是无常损失。
这种入场价格变化引起的无常损失看起来陡峭得可怕,事实上确实可怕……但其实只要LP代币对的相对价格保持在入场的50%以内,无常损失始终小于2%。
有一说一,与赚的流动性激励相比,这部分损失其实完全可控。不过一旦超出50%,无常损失带来的亏损就真的很大了,极端行情下有可能整个LP代币对无限趋近归零。
而Deri的Power Perpetuals提供了一种对冲无常损失的解决方案。
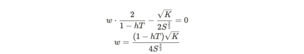
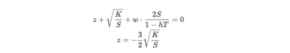
假设LP的初始流动性是1 ETH:4000 USDC,那么用w个单位的ETH²和z个单位的ETHUSD期货构成的组合,就能获得远比价格波动50%更加平坦的价格保护。
w和z的计算公式如下:


T:资金费周期(对Deri的powers来说就是一周)
h = r +𝜎²/2
r:无风险利率
𝜎 : 波动性
S:ETH现货价格
K:AMM的恒定常数
下图是随着ETH价格变化,不同策略面临的盈亏表现。

黄色直线是期货空头的价值,蓝色曲线是LP代币对的价值,绿色曲线是Powers的价值,而红色曲线则是整个投资组合最后的综合价值,我们可以看到它在很宽的范围内都保持了平坦。
目前的Power Perpetuals只有mBTC²和mETH²,只能给BTC-USD和ETH-USD这两个LP代币对做对冲。但未来会有新的Power代币上线,如mBNB²。
总之用Power代币和期货构成的投资组合,在发生极端行情时仍可以完美对冲无常损失。
总结
如果投资者非常笃定地认为市场会走向某个方向(做多或做空),oSQTH提供的杠杆代币追踪的是价格的2次方,理论上回报会比现货更高(前提是赌对了的话)。
Deri Protocol是以永续期货的方式提供了Power Perpetuals的解决方案,还可以在此基础上加杠杆。
对多头来说,可以带来比追踪期货更高的回报,而且涨幅要高于跌幅,所以远比传统期货更适合做短期看涨。
当然,为了平衡空头面临的风险,多头给空头支付的资金费用也高于传统期货。所以对空头来说,也远比传统期货更适合长期看跌(资金费用的回报很高)。
另外,用Power代币和期货构成的投资组合,可以在发生极端行情时仍可以完美对冲无常损失。
最后,你会选择用Deri的Power Perpetuals(目前有mBTC²和mETH²)做什么呢?
做多?做空?还是对冲?欢迎在评论区说出你的看法~
网址:
https://deri.io/#/trade/powers
在链茶馆公众号主页发送关键词“社群”加入链茶馆群~
【免责声明】市场有风险,投资需谨慎。本文不构成投资建议,用户应考虑本文中的任何意见、观点或结论是否符合其特定状况。据此投资,责任自负。
